ДАЮ 63 БАЛЛА ПОМОГИТЕ С ПРИМЕРАМИ
Приложения:

Astrolog214:
ПОМОГИТЕ ПЖ
Ответы
Ответ дал:
1
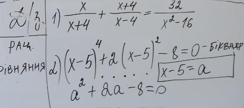
Ответ:вот
Пошаговое объяснение:
Приложения:


Вас заинтересует
2 года назад
2 года назад
8 лет назад
9 лет назад