СРОЧНО ДАЮ 100 БАЛІІІІІІІІІІІІІІІІВ
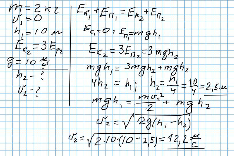
Тіло масою 2 кг вільно падає з висоти 10 м. На якій висоті кінетична енергія буде втричі більша за потенціальну? Якою буде швидність тіла в цей момент?
Ответы
Ответ дал:
1
Відповідь: 2,5 м ≈ 12,2 м/с
Пояснення:
Приложения:

Вас заинтересует
2 года назад
2 года назад
2 года назад
9 лет назад