• Предмет: Алгебра
  • Автор: anagricenko15
  • Вопрос задан 7 лет назад

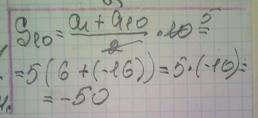
Знайдіть суму перших десяти членів арифметичної прогресії, якщо a1 = 6; a10 = -16
(Даю 20 балов)

Ответы

Ответ дал: manyny06
0

Ответ:

решение смотри на фотографии

Приложения:

Аноним: 2.
Вас заинтересует