• Предмет: Физика
  • Автор: oleksandradoryc
  • Вопрос задан 7 лет назад

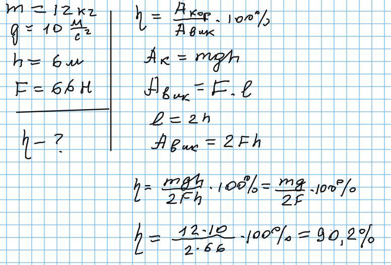
Чому дорівнює ККД системи рухомого та нерухомого блоків, за допомогою якої піднято вантаж масою 12 кг на висоту 6 м силою 66 Н?​

Ответы

Ответ дал: zybkov1950
8

Відповідь: ≈ 90,2%

Пояснення:

Приложения:
Вас заинтересует