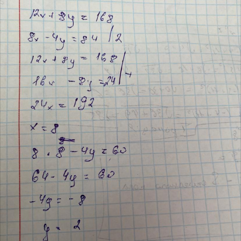
Дам 30 балів ♦️♦️♦️За 12зошитів і 8 олівців заплатили 168 гривень. Скільки коштує 1зошит і скільки 1олівець, якщо 8 зошитів дорожчі за 4 олівці на 84 гривні?
Ответы
Ответ дал:
1
Держи, вроде получилось
Приложения:

Вас заинтересует
2 года назад
2 года назад
2 года назад
8 лет назад
9 лет назад