• Предмет: Математика
  • Автор: danilborisov21
  • Вопрос задан 3 года назад

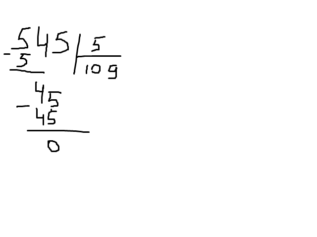
разделите столбиком 545/5


asnas03: 545/5=5/5=1,берем еще по 0,45/5=9 Ответ:109

Ответы

Ответ дал: swetkoo
2
Держиииииииииииииииииииииии
Приложения:

danilborisov21: Что?
danilborisov21: Спасибо=) красиво рисуешь в паинте=)
Ответ дал: Вариор15
1
5'45|_5                                                                                                                       -5    19                                                                                                                         45                                                                                                                            45                                                                                                                             0


danilborisov21: спасибо конечно но должно получится 109
Вас заинтересует