• Предмет: Математика
  • Автор: nadaramkova5
  • Вопрос задан 7 лет назад

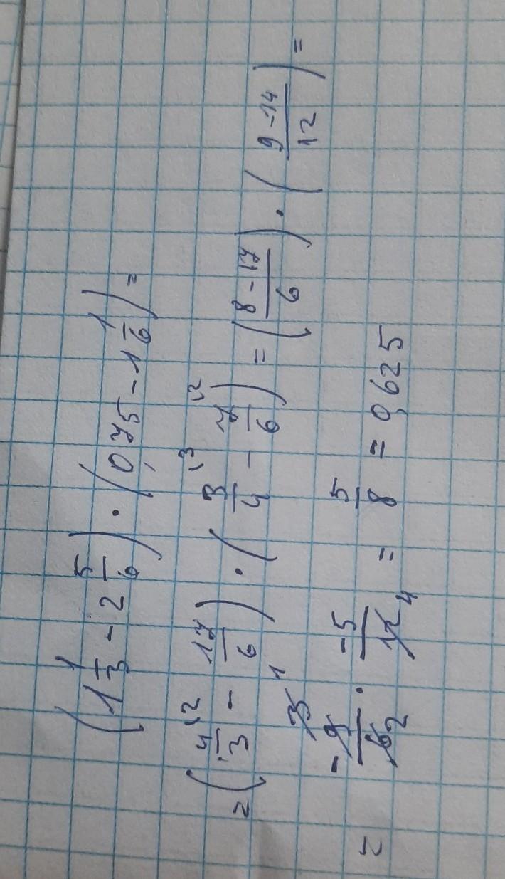
найдите значение выражения: (1 1/3- 2 5/6)х(0,75-1 1/6) срочно​

Ответы

Ответ дал: CandiDog
1

Ответ:

0,625 ........................

Приложения:
Вас заинтересует