• Предмет: Алгебра
  • Автор: ovitovsik1
  • Вопрос задан 7 лет назад

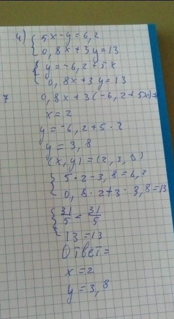
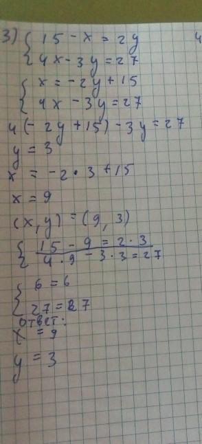
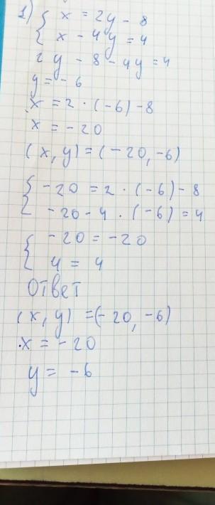
Помогите решить задание! ДАЮ 50 БАЛЛОВ! ЗАДАНИЕ НА ФОТО!!!​

Приложения:

Ответы

Ответ дал: dasakravcenko467
1

Ответ:

Надеюсь помогла ))))))

Приложения:
Вас заинтересует