• Предмет: Алгебра
  • Автор: honcharovstallker
  • Вопрос задан 7 лет назад

Розв'яжи систему двох лінійних рівнянь способом додавання.
{4х - 3у = 17,
{-3х + 2у = -12​

Ответы

Ответ дал: 1Pokemosha2
1

12x - 9y = 51 \\  - 12 + 8y =  - 48

 - y = 3

y =  - 3

 - 3 + 2 \times ( - 3) =  - 12

x = 2

4 \times 2 - 3 \times ( - 3) = 17 \\  - 3 \times 2 + 2 \times ( - 3) =  - 12

17 = 17 \\  - 12 =  - 12

(x.y) =(2. - 3)

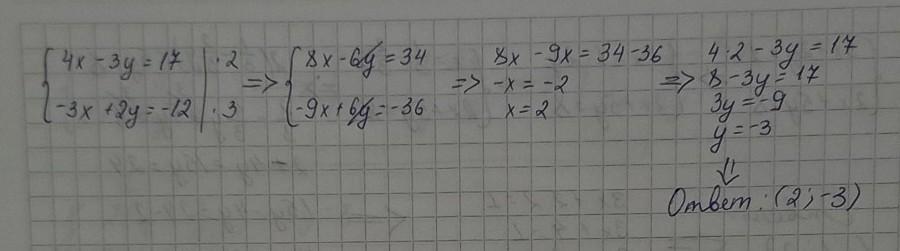
Ответ дал: yeyo
1

Ответ : (2; - 3)

во вложенном фото.....

Приложения:
Вас заинтересует