Нужно помощь, алгебра
Можно без объяснения.
Приложения:

manyny06:
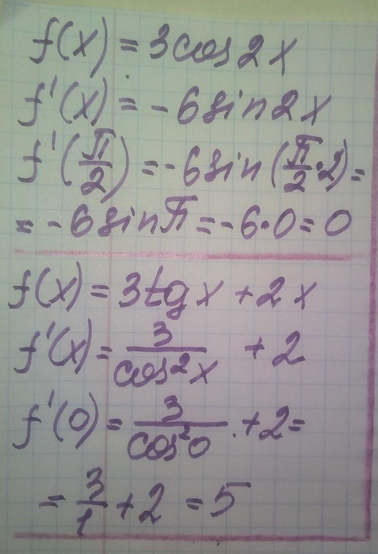
найти значение производной в точке?
Ответы
Ответ дал:
1
Ответ:
решение смотри на фотографии
Приложения:

Вас заинтересует
2 года назад
2 года назад
8 лет назад
8 лет назад
9 лет назад