• Предмет: Алгебра
  • Автор: daliyapro
  • Вопрос задан 7 лет назад

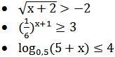
решите неравенства
помогите, пожалуйста, здесь нужно с решением

Приложения:

Ответы

Ответ дал: mfornoliak
0

.....................

Приложения:
Вас заинтересует