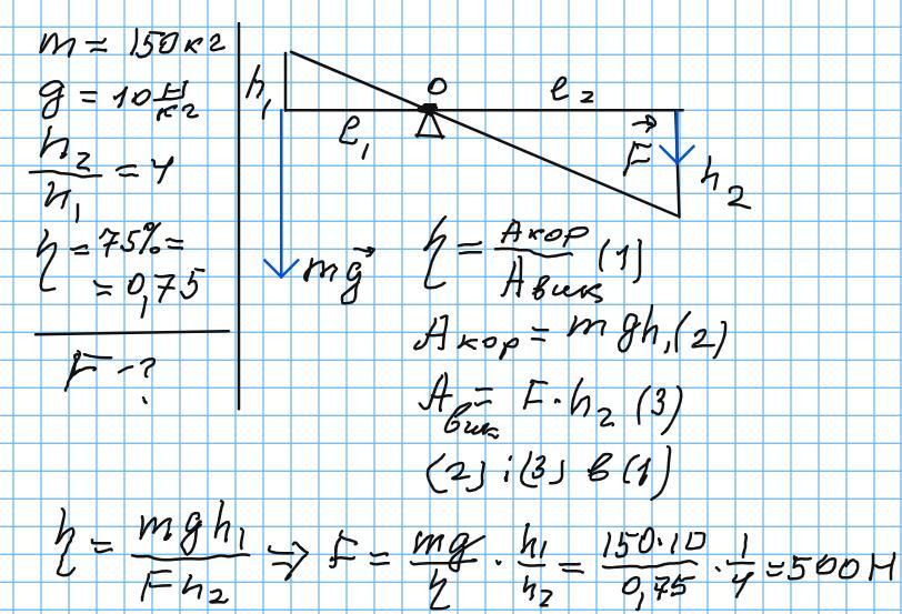
За допомогою невагомого важеля археологи піднімали, знайдений камінь масою 150 кг. Яку силу вони приклали до важеля, якщо відомо, що точки прикладання кінців важеля пройшли відстані, що відрізняються в 4 рази, а ККД становить 75%?
СРОЧНО ПОМОГИТЕ ПЖ
Ответы
Ответ дал:
2
Відповідь: 500 Н
Пояснення:
Приложения:

Вас заинтересует
2 года назад
2 года назад
2 года назад
8 лет назад
8 лет назад
9 лет назад