• Предмет: Алгебра
  • Автор: mak223ogonzena
  • Вопрос задан 7 лет назад

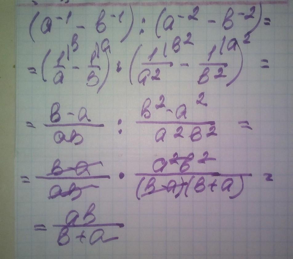
Упрости выражение 49 баллов

Приложения:

Ответы

Ответ дал: Shokuhou
0

Ответ:

(\frac{1}{a}-\frac{1}{b}):(\frac{1}{a^{2} } -\frac{1}{b^{2} } )= (\frac{b-a}{ab}) :(\frac{b^{2}-a^{2} }{a^{2}b^{2}  } )=\frac{b-a}{ba} * \frac{a^{2}b^{2}  }{(b-a)(b+a)} = \frac{ab}{a+b}

Ответ дал: manyny06
1

Ответ:

решение смотри на фотографии

Приложения:
Вас заинтересует