• Предмет: Алгебра
  • Автор: s3dativ3pills
  • Вопрос задан 7 лет назад

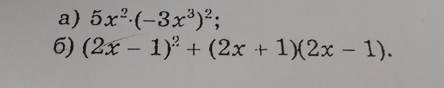
помогите, умоляю!! как упрощать эти выражения? решение НЕ НАДО, просто пошагово объясните​

Приложения:

Ответы

Ответ дал: bulgeys13
1

Ответ:

В 1 примере легко. Сначала умножаешь степени. Тоесть 2*3. получается 5х^2*(-3х^6)

и потом решаешь. во втором. первое это квадрат разности. решай по формуле, а 2разность квадратов, тоже решаешь смотрю на формулу. вот и всё


s3dativ3pills: спасибо)
Ответ дал: pavlovichyahoo123
1

Ответ:

a)

Объяснение:

а)5x²•9x⁶= и дальше решаешь

б)(2x-1)²+(2x-1)² и дальше решаешь раскрывая скобки


s3dativ3pills: спасибо)
Вас заинтересует