• Предмет: Алгебра
  • Автор: Аноним
  • Вопрос задан 11 лет назад

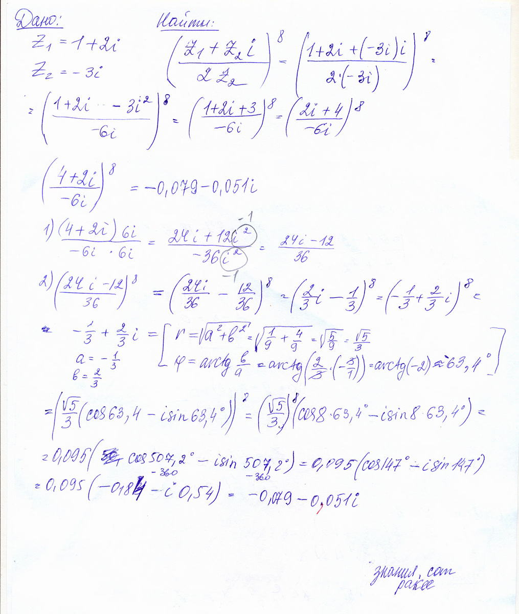
Дано: z₁=1+2i

         z₂=-3i

Найти: ((z₁+iz₂)/2z₂)^8

Ответы

Ответ дал: pakee
0

Сначала подставим z  в выражение, упростим, и решим.

 

 

Приложения:
Вас заинтересует