• Предмет: Алгебра
  • Автор: Аноним
  • Вопрос задан 7 лет назад

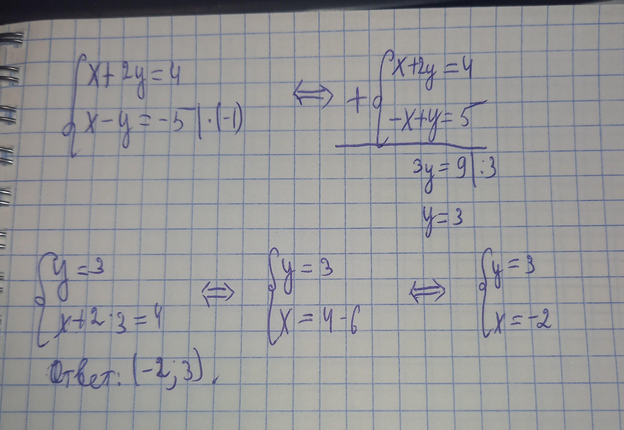
ДАЮ 100 БАЛЛОВ!!! Розв'яжіть систему рівнянь способом додавання \left \{ {{x+2y=4} \atop {x-y=-5}} \right.

Ответы

Ответ дал: sofiasemenovna100
2

Ответ:

(-2;3)

Объяснение:

решение на фото.....

Приложения:
Ответ дал: toughtcookieua
1

Відповідь:

\left \{ {{x+2y=4} \atop {x-y=-5}|*-1} \right.\\\left \{ {{x+2y=4} \atop {-x+y=5}} \right. \\\\+\\\\x+2y-x+y=9\\3y=9\\y=3\\\left \{ {{y=3} \atop {x=-2}} \right.

Пояснення:

Вас заинтересует