• Предмет: Алгебра
  • Автор: valknut88
  • Вопрос задан 7 лет назад

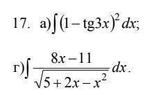
Найти не определенные интегралы

Приложения:

Ответы

Ответ дал: nepustilipoeta
1

17. а) (1-2tg(3x)+tg²(3x))

1+tg²(3x)=1/cos²(3x)

∫(1-tg(3x))dx=∫dx/cos²(3x)-2∫sin(3x)dx/cos(3x)=(1/3)*tg(3x)+2∫(d(cos(3x))/cos(3x)=(1/3)*tg(3x)+(2/3)㏑Icos(3x)I+c

г)(5-х²+2х)'=2-2x;

(8x-11)=(2-2x)*(-4)-3;

√(-х²+2х+5)=√(-(х²-2х-5))=√(-((х-1)²-9))=√(9-(х-1)²)

∫(8x-11)dx/√(5+2x-x²)=-4∫d(5+2x-x²)/√(5+2x-x²)-3∫d(x-1) /(√(9-(х-1)²))

=-8√(5+2x-x²)-3arcsin((x-1)/3)+c

Вас заинтересует