• Предмет: Алгебра
  • Автор: Ada057
  • Вопрос задан 7 лет назад

Помогите, пожалуйста, очень нужно! 50 баллов.
Найти:
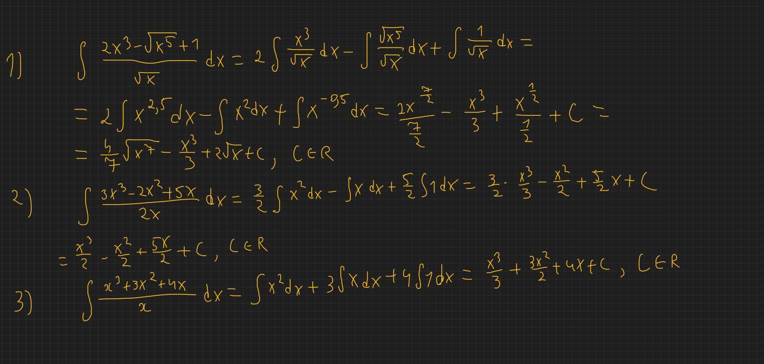
1. \int\limits {\frac{2x^3-\sqrt{x^5}+1 }{\sqrt{x} } } \, dx
2. \int\limits {\frac{3x^3-2x^2+5x}{2x} } \, dx
3. \int\limits {\frac{x^3+3x^2+4x}{x} } \, dx

Ответы

Ответ дал: sdnss
1

Решение предоставлено в виде фото.

Приложения:
Вас заинтересует