• Предмет: Алгебра
  • Автор: OneTheGod1
  • Вопрос задан 7 лет назад

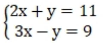
розвяжіт систему рівнянь та обчисли суму х+у що є її розвязком (х:у)

Приложения:

Ответы

Ответ дал: stepansemerny
1

Ответ:

...........................

Приложения:
Вас заинтересует