Ответы
Ответ дал:
1
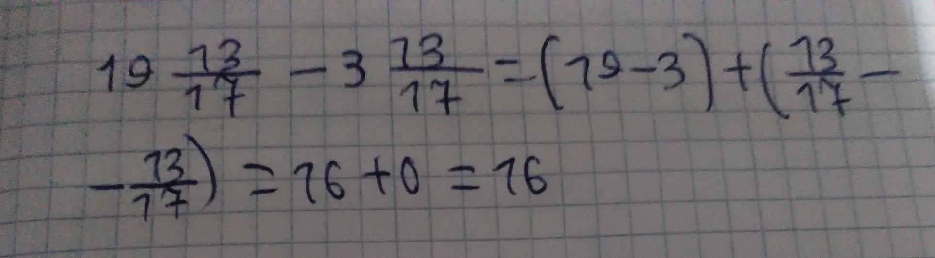
19 13/17 - 3 13/17
(19-3) + (13/17 - 13/17)
(19-3) + 0
16 + 0
16
DaryaRusalovska404:
спасибо большое!
Ответ дал:
1
Ответ:
Ответ 16
Пошаговое объяснение:
Все понятно написано в картинке.Мне пришлось написать после - снизу
Приложения:

Вас заинтересует
2 года назад
2 года назад
2 года назад
2 года назад
8 лет назад
8 лет назад
9 лет назад