Ответы
Ответ дал:
0
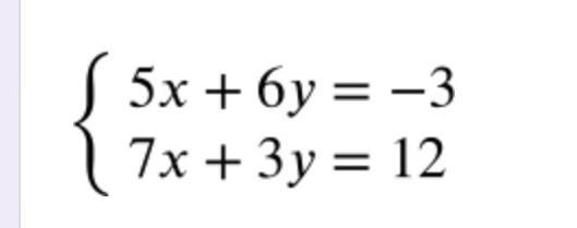
Ответ:
(3;-3)
Объяснение:
Приложения:

Вас заинтересует
2 года назад
2 года назад
2 года назад
2 года назад
8 лет назад
8 лет назад
9 лет назад