ПОМОГИТЕ решить неравенство !!!
log0.3+log0.3(x+1) ⩾log0.3(8-x)
vivitpipupi:
после первого логарифма пропущено число х извините
Ответы
Ответ дал:
1
Ответ:
(0;2]
Объяснение:
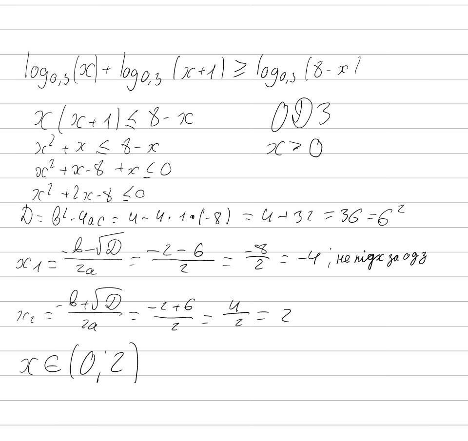
ОДЗ
8-х>0⇒x<8
x>0
x+1>0⇒х>-1
итак: ОДЗ 0<х<8
㏒₀,₃х+㏒₀,₃(х+1)≥㏒₀,₃(8-х)
0<0.3<1⇒х*(х+1)≤8-х
х²+х-8+х≤0
х²+2х-8≤0 решим методом интервалов
х²+2х-8=0
по теореме, обратной теореме Виета,
х=-4; х=2
______-4_________2______
+ - +
решением неравенства будет х∈[-4;2]
с учетом ОДЗ решение исходного неравенства
(0;2]
Ответ дал:
1
Ответ:
ответ на фото
Ошибся, в ОДЗ ещё условие х<8
Приложения:

Вас заинтересует
2 года назад
2 года назад
2 года назад
8 лет назад
8 лет назад