• Предмет: Алгебра
  • Автор: vvaattyaa
  • Вопрос задан 7 лет назад

ПОМОГИТЕ ПОЖАЛУЙСТА
Алгебра 10 класс
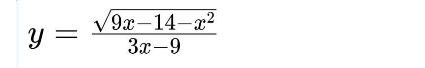
найдите область определения функций

Приложения:

Ответы

Ответ дал: EADF
3

Ответ: xє(2; 3)U(3; 7)

Объяснение:

ОДЗ:

9x - 14 - x {}^{2}  > 0 \\ x {}^{2}  - 9x + 14 < 0

x²-9x+14=0

x1=7, x2=2

xє(2; 7)

3x-9≠0

3x≠9

x≠3

xє(2; 3)U(3; 7)


vvaattyaa: спасибо большое
EADF: обращайся
ТокийскиеИтачи: bj alex
ТокийскиеИтачи: xd
Ответ дал: nepustilipoeta
1

Ответ:

х∈[2;3)∪(3;7]

Объяснение:

знаменатель не нуль. т.к. на нуль делить нельзя, под корнем неотрицательное значение. т.к. корень четной степени. второй.

поэтому область определения находим из системы

3х-9≠0⇒3х≠9; х≠3

-х²+9х-14≥0

х²-9х+14≤0

решим методом интервалов.

х²-9х+14=0

корни х=2, х=7- по теореме, обратной теореме Виета.

_____2_______7________

+                 -                       +

х∈[2;7], да еще и  х≠3, получаем такую область определения

х∈[2;3)∪(3;7]

Вас заинтересует