• Предмет: Алгебра
  • Автор: yuliannakh1111
  • Вопрос задан 7 лет назад

знайдіть п'ятий член арифметичної прогресії та суму перших сорока членів арифметичної прогресії, у якої перший член дорівнює 2 а різниця 5. допоможіть як пошвидше потрібно здати, залишилось 17 хвилин ​

Ответы

Ответ дал: Warlock1
1

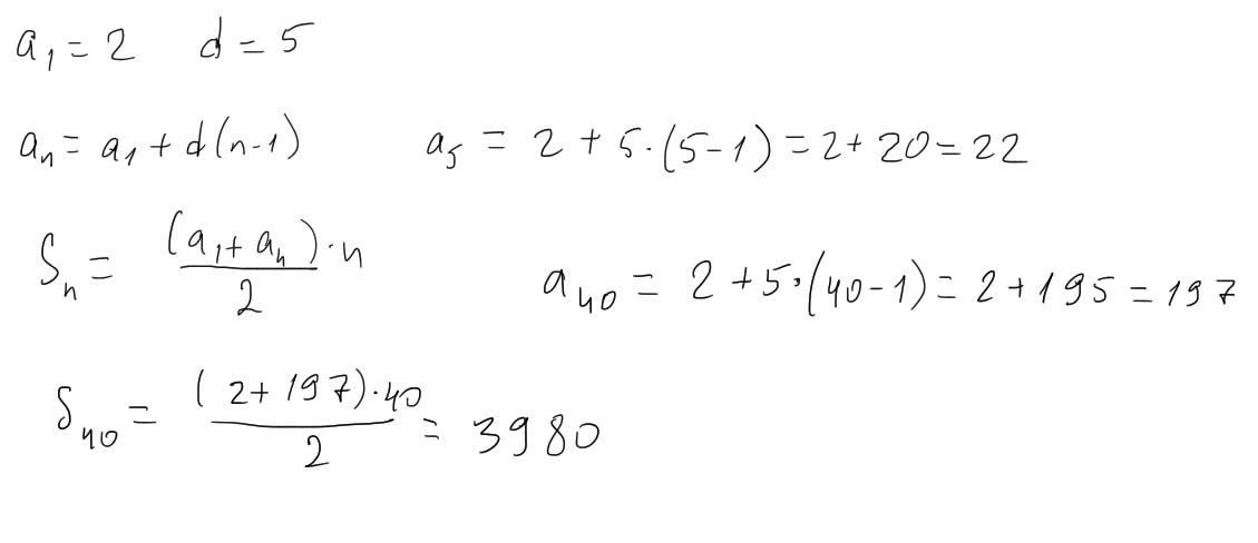
Ответ:

ну так

Объяснение:

Приложения:
Ответ дал: nepustilipoeta
1

Ответ:

22; 3980

Объяснение:

an=a₁+d*(n-1)

a₅=a₁+4d

Sn=(2a₁+d*(n-1))*n/2

S₄₀=(2a₁+39)*20

a₁=2

d=5

значит.

a₅=a₁+4d=2+4*5=22

S₄₀=(2a₁+39*5)*20=(2*2+39*5)*20=3980

Вас заинтересует