• Предмет: Алгебра
  • Автор: yuliannakh1111
  • Вопрос задан 7 лет назад

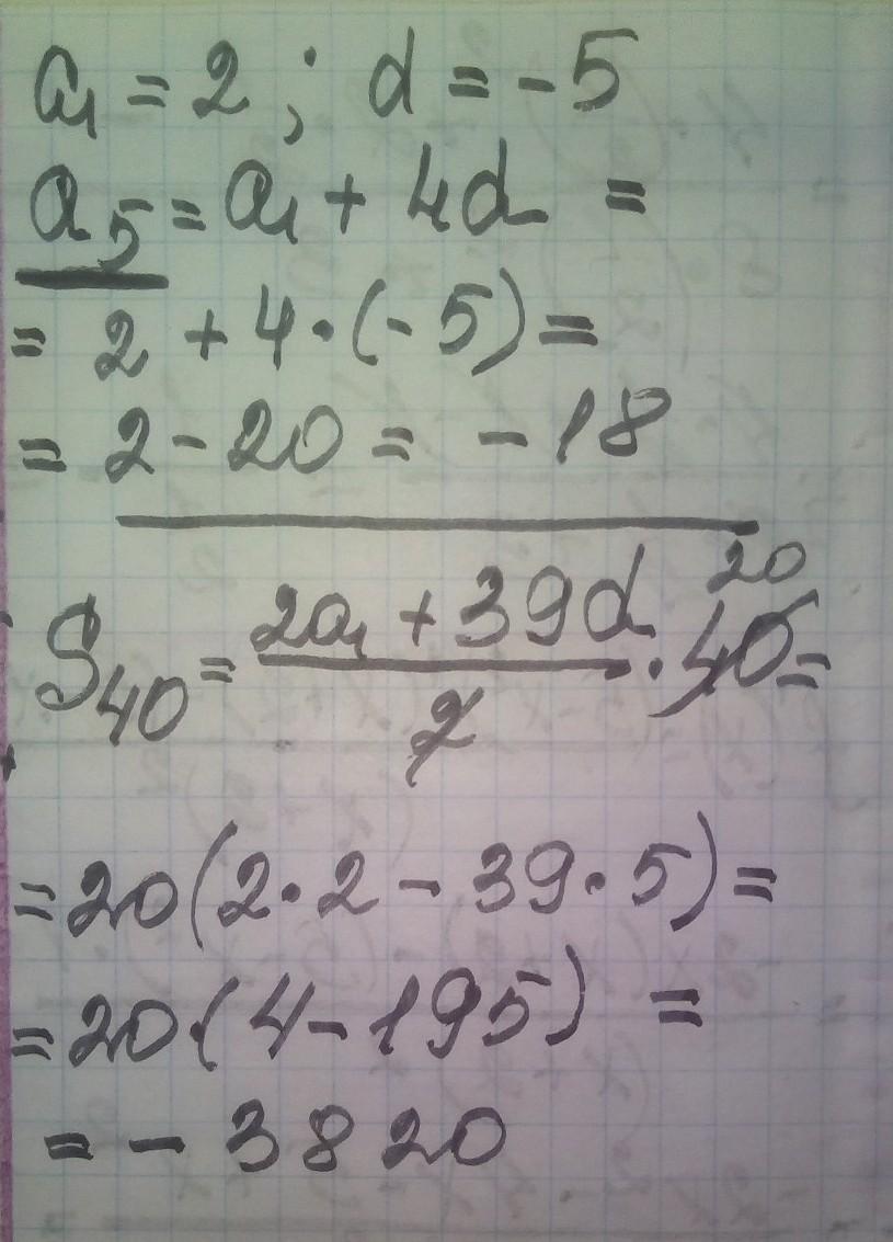
знайдіть п'ятий член арифметичної прогресії та суму перших сорока членів арифметичної прогресії, у якої перший член дорівнює 2 а різниця-5. допоможіть залишилось декілька хвилин, дуже потрібна допомога​

Ответы

Ответ дал: manyny06
1

Ответ:

решение смотри на фотографии

Приложения:
Вас заинтересует