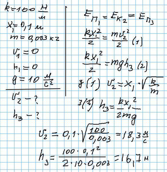
В пружинному пістолеті жорсткість пружини 100Н/м. З якою швидкістю вилітатиме з нього кулька масою 3г, якщо пружина стиснута на 10см? На яку максимальну висоту може піднятись ця кулька?
Ответы
Ответ дал:
1
Відповідь: ≈18,3 м/с ≈ 16,7 м
Пояснення:
Приложения:

Вас заинтересует
2 года назад
2 года назад
2 года назад
2 года назад
8 лет назад
8 лет назад
9 лет назад