Главный мозг умоляю помогите пожалуйста
Приложения:

fawafwfaf:
я светило науки, поетому не помогу(
Ответы
Ответ дал:
1
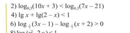
2. ОДЗ 10х+3>0⇒x>-0.3
7x-21>0⇒x>3
окончательно ОДЗ x>3
т.к. основание 0<0.3<1, то 10х+3>7х-21
3х>-24⇒х>-8
с учетом ОДЗ ответ : х∈(3;+∞)
4. ОДЗ х>0; 2-х>0⇒x<2
и ОДЗ (0;2)
т.к. основание 10>1, используя свойства логарифмов, получим:
х*(2-х)<10
х²-2х+10>0
решением этого неравенства есть любое число. т.к. а=1>0
D=b²-4ac=4-40=-36<0
с учетом ОДЗ ответ (0;2)
6. ОДЗ 3х-1>0⇒x>1/3
x+2>0⇒x>-2
ОДЗ:x>1/3
перенесем вправо -㏒₁/₃(х+2)
㏒₁/₃(3x-1)>㏒₁/₃(х+2)
т.к. основание 0<1/3<1, то 3х-1<x+2
2x<3⇒x<1.5
с учетом ОДЗ ответ (1/3; 1.5)
Вас заинтересует
2 года назад
2 года назад
2 года назад
2 года назад
8 лет назад
8 лет назад
9 лет назад