• Предмет: Математика
  • Автор: DakoSo
  • Вопрос задан 7 лет назад

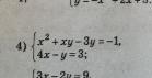
Розв'язати систему рівнянь

Приложения:

Ответы

Ответ дал: fedchishaksofia12
0

Ответ:

x {}^{2}  + xy - 3y =  - 1 \\ 4x - y = 3 \\ x  {}^{2}  + xy - 3y =  - 1 \\ x = 1 \\ x = 2 \\ y =1 \\ y = 5


DakoSo: Не розписана відповідь (人 •͈ᴗ•͈)
Вас заинтересует