• Предмет: Физика
  • Автор: gaponenko1103
  • Вопрос задан 7 лет назад

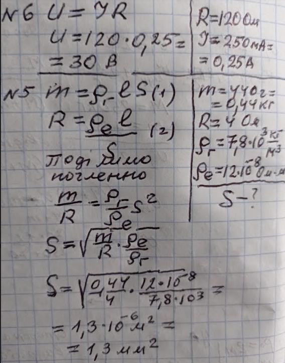
На скрине 5-6 питання, расписывать полностью не обязательно

Приложения:

alexminaev: много заданий.
IUV: только 5-е и 6-е
IUV: читайте внимательней условие прежде чем отмечать нарушением

Ответы

Ответ дал: zybkov1950
2

Відповідь:  Див. додаток

Пояснення:

Приложения:
Вас заинтересует