• Предмет: Алгебра
  • Автор: valeriastorp
  • Вопрос задан 7 лет назад

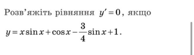
решите уравнение y’=0, если…

Приложения:

Ответы

Ответ дал: Скарлетт18
1

Решение на фотографии:

Приложения:

valeriastorp: Велике дякую
Вас заинтересует