Контрольна робота II семестр
Варіант І
1. Оксидами називають (0,5 б.):
а) прості речовини, що містять атоми Оксигену;
б) бінарні сполуки, до складу яких входять атоми Оксигену;
в) складні речовини, які містять атоми Оксигену, Гідрогену та інших
хімічних елементів.
2. Позначте назву речовини формула якої P 2 O 5 (0,5 б.):
а) Фосфор б) ортофосфатна кислота
в) фосфор (ІІІ) оксид ; г) фосфор (V) оксид.
3. Позначте ряд, що утворений лише з формул солей (0,5 б.):
а) NaCl, KCl, KOH б) HCl , HNO 3 , Ag 2 O
в) MgSO 4 , K 2 S , AlCl 3 г) KOH, NaCl, HCl
4. . Позначте ряд, що утворений лише з формул основ (0,5 б.):
а) NaCl, HCl, KOH; б) HCl , HNO 3, H 2 CO 3;
в) MgSO 4 , K 2 S, AlCl 3 ; г) KOH, NaOH ,Ca(OH) 2.
5. . Речовини, що складаються з атомів Гідрогену та кислотного залишку,
називають (0,5 б.):
а) кислотними оксидами б) кислотами
в) основами г) солями.
6. . Позначте формулу карбонатної кислоти (0,5 б.):
а) НСl; б) HNО 3 ;
в) Н 2 СО 3 ; г) НВr.
7. Установіть відповідність між формулами солей та їхніми назвами (1 б.):
а) Mg 3 (PO 4 ) 2 1) магній сульфат
б) MgCO 3 2) магній сульфіт
в) MgSO 4 3) магній карбонат
г) MgSO 3 4) магній ортофосфат
8. Установіть відповідність між реагентами та продуктами реакцій (1 б.):
1) Al + HCl а) AlCl 3 + H 2 O
2) Al 2 O 3 + HCl б) Al(OH) 3 + KCl
3) AlCl 3 + KOH в) KAlO 2 + H 2 O
4) Al 2 O 3 + KOH г) K 2 O + Al(OH) 3
д) AlCl 3 + H 2
9. Закінчіть рівняння реакцій (2 б.):
а) K 2 O + CO 2 → б) KOH + Zn(NO 3 ) 2 →
в) Ca(OH) 2 + H 2 SO 4 → г) AgNO 3 + CaCl 2 →
10. Скадіть рівняння реакцій за допомогою яких можна здійснити такі
перетворення (2б.):
Al → Al 2 O 3 → Al 2 (SO 4 ) 3 → Al(OH) 3 → AlCl 3.
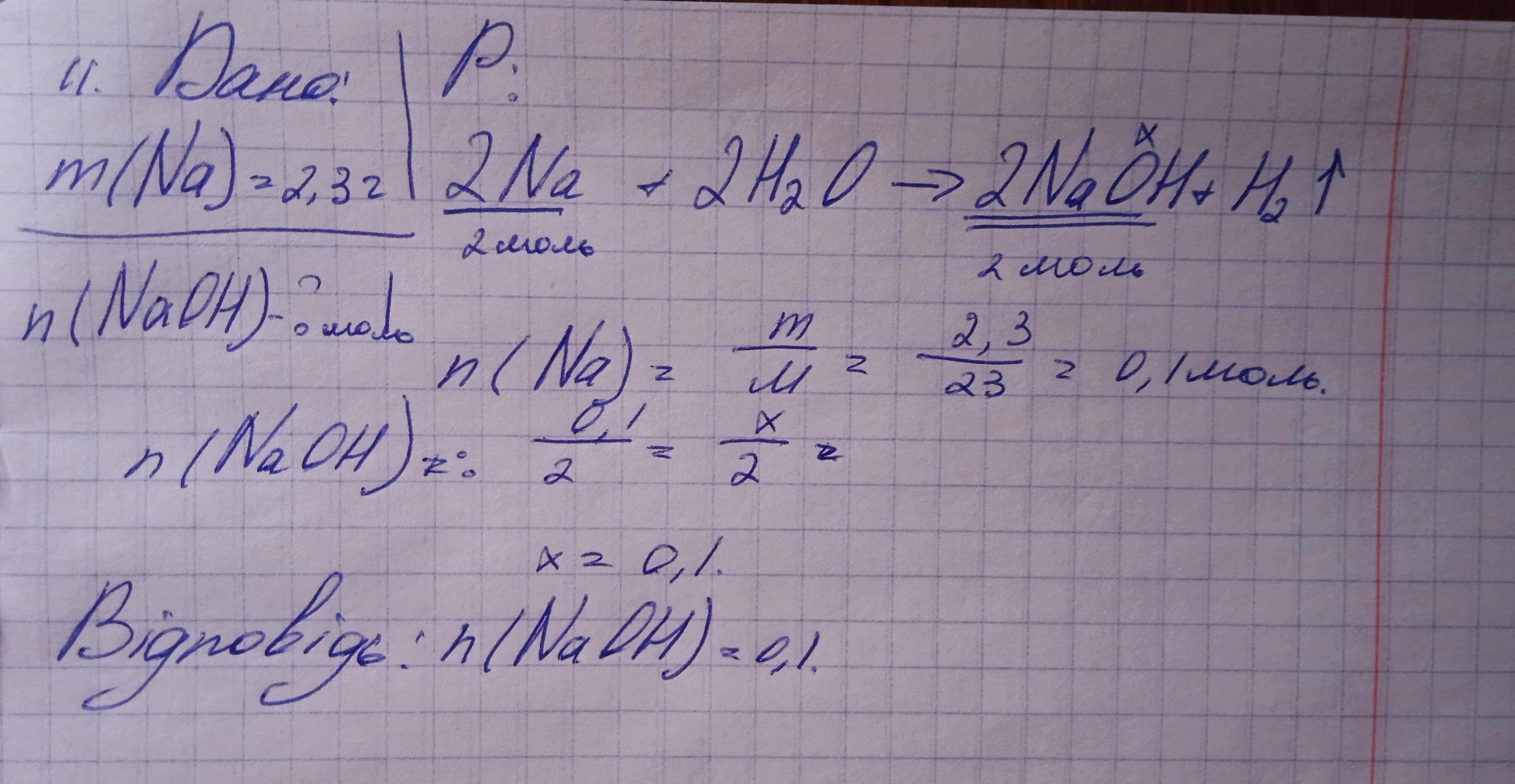
11. Яка кількість речовини натрій гідроксиду утвориться при взаємодії 2,3 г
натрію з водою (1 б.)?
12. Який об'єм (н. у.) водню виділиться під час взаємодії 6,5 г цинку з
хлоридною кислотою (2б.)?
Ответы
Ответ дал:
1
1. а
2. г
3.в
4. г
5. б
6. в
7. а - 4
б - 3
в- 1
г-2
8. 1 - д
2- а
3 - б
4 - г
9. а) K2CO3
б) 2КNO3 + Zn(OH)2
в) CaSO4+ 2H2O
г )2AgCl + Ca( NO3)2
10, 11, 12 скинула в фото :)
Приложения:



mironyuk0986353994:
благодарочка !!!
Вас заинтересует
2 года назад
2 года назад
2 года назад
2 года назад
8 лет назад
8 лет назад
9 лет назад