• Предмет: Математика
  • Автор: laskovaemilia
  • Вопрос задан 7 лет назад

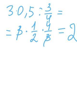
Как изменить произведение трёх чисел если первое число умножить на 3,второе на 0,5 а третье разделить на 3/4?

Ответы

Ответ дал: deidaralapochka
1

выполним все действия во вложении.

ответ: увеличится в 2 раза

Приложения:
Вас заинтересует