• Предмет: Алгебра
  • Автор: captainnemo170
  • Вопрос задан 7 лет назад

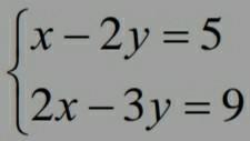
решить задачу графическим способом​

Приложения:

Ответы

Ответ дал: zarinausmanaeva
0

Ответ:

x = 3, y = -1

Объяснение:

x = 2y + 5

2 (2y + 5) - Зу = 9

4y + 10 - 3y = 9

у + 10 = 9

y = -1

x = 2 (-1) + 5

x=3


captainnemo170: там не графическим,а способом постановки
Вас заинтересует