• Предмет: Алгебра
  • Автор: justgenius1
  • Вопрос задан 7 лет назад

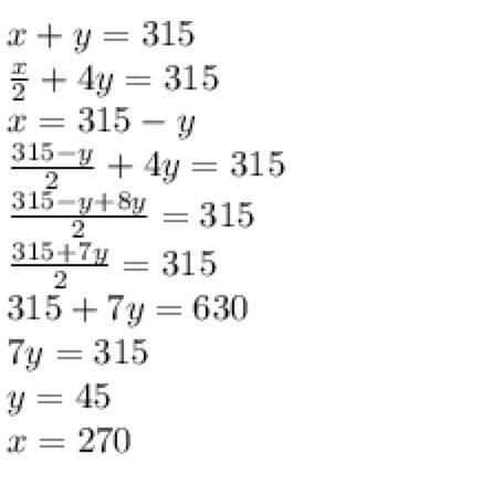
В двух музеях всего 375 экспонатов. Первый передал половину своих экспонатов второму музею на время выставки. Тогда во втором стало в 4 раза больше экспонатов, чем в первом. Сколько экспонатов было в каждом из них?

Запиши ответ числами.

Первый музей —
.

Второй музей —
.

Ответы

Ответ дал: coreeldo
1
мне кажется там не много не правильно, 375 не может быть, если не правильно, прости
Приложения:
Вас заинтересует