• Предмет: Алгебра
  • Автор: vadimmisak1
  • Вопрос задан 7 лет назад

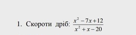
допоможіть будь ласка​

Приложения:

Ответы

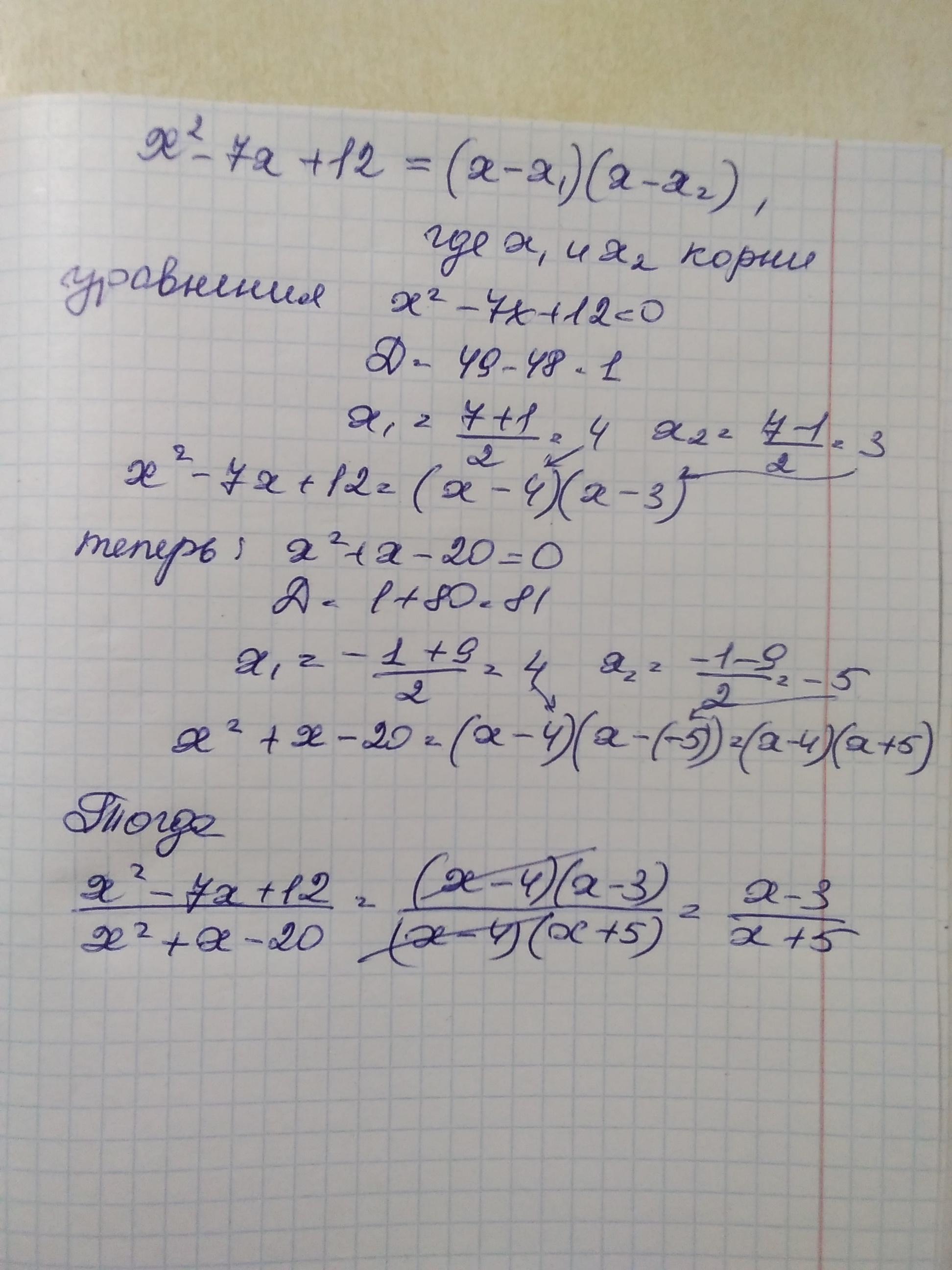
Ответ дал: MizoriesKun
1

Смотри . . . .. ... ... .. . .. .

Приложения:
Вас заинтересует