• Предмет: Алгебра
  • Автор: viktoriapronina
  • Вопрос задан 7 лет назад

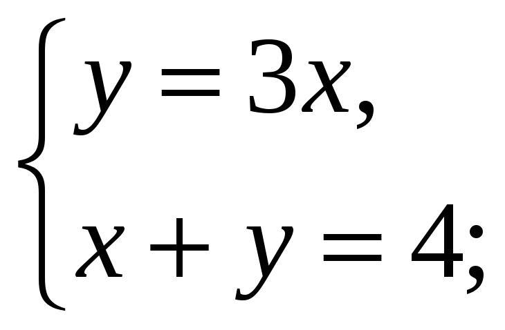
ПОМОГИТЕ, ПОЖАЛУЙСТА, РЕШИТЬ СИСТЕМУ УРАВНЕНИЙ С ПОДРОБНЫМ РЕШЕНИЕМ

Приложения:

Ответы

Ответ дал: devile665228
1

Ответ:

\left \{ {{y=3x} \atop {x + y = 4}} \right.  \left \{ {{y=3x} \atop {x + 3x = 4}} \right. \left \{ {{y=3x} \atop {4x=4}} \right.  \left \{ {{y=3} \atop {x=1}} \right.

Объяснение:

Вас заинтересует