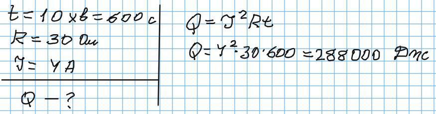
Яку роботу виконає електричний струм за 10 хв в електропечі, увімкнутійй у мережу, якщо опір нагрівального елемента печі становить 30 Ом, а сила струму в ньому дорівнює 4А
Ответы
Ответ дал:
0
Відповідь: 288 кДж
Пояснення:
Приложения:

Вас заинтересует
2 года назад
2 года назад
8 лет назад
8 лет назад
9 лет назад
9 лет назад