• Предмет: Математика
  • Автор: maseninartm
  • Вопрос задан 7 лет назад

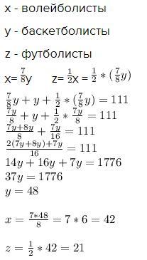
Спортом занимаются 111 человек. Волейболисты состовляют 7/8 количество баскетболистов футболисты - 50%, количество волейболистов. Сколько человек занимаются футболом Волейболом баскетболом? Помогите пожалуйста. Надо решить уровнением. Даю 15 балов.

Ответы

Ответ дал: Yan0088
0

Ответ:

42 волейболиста, 48 баскетболистов, 21 футболистов

Пошаговое объяснение:на картинке↓↓↓

Приложения:
Вас заинтересует