• Предмет: Физика
  • Автор: gleb5671
  • Вопрос задан 7 лет назад

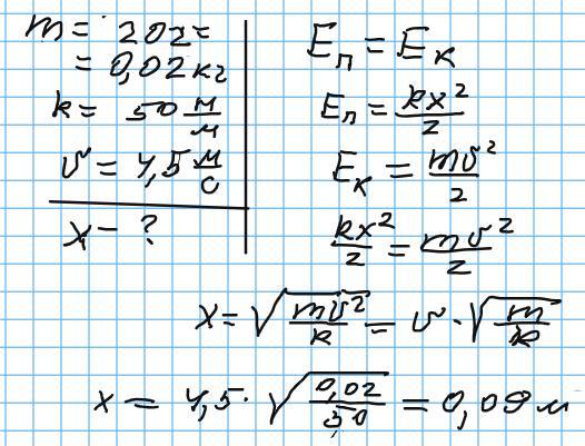
На скільки стиснули пружину іграшкового пістолету, якщо розпрямляючись, пружина надає кулі масою 20 г швидкість 4,5 м/с. Жорсткість пружини 50 Н/м?

Ответы

Ответ дал: zybkov1950
2

Відповідь: 9 см

Пояснення:

Приложения:
Вас заинтересует