• Предмет: Алгебра
  • Автор: leratdehfio
  • Вопрос задан 7 лет назад

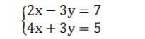
Розвʼяжіть систему рівнянь способом додавання

Приложения:

Ответы

Ответ дал: vedmydanna10092008
0

Ответ:

.....................

Приложения:
Вас заинтересует