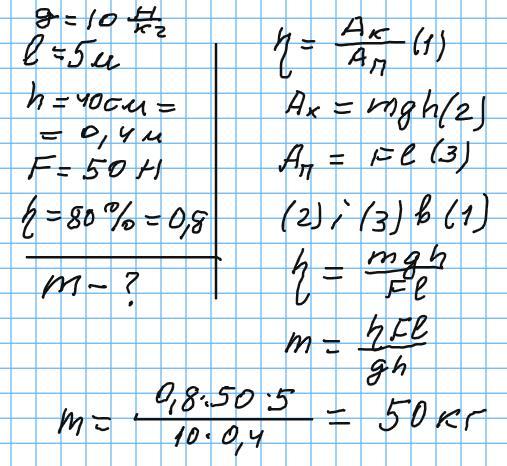
. Похилою площиною, довжина якої 5 м, а висота 40 см, рівномірно тягнуть вантаж угору, прикладаючи силу 50 Н уздовж цієї площини. Чому дорівнює маса цього вантажу, якщо ККД похилой площини становить 80 %?ДАЮ 50 БАЛІВ
Ответы
Ответ дал:
1
Відповідь: 50 кг
Пояснення:
Приложения:

Вас заинтересует
2 года назад
2 года назад
8 лет назад
8 лет назад
9 лет назад