• Предмет: Математика
  • Автор: uapixar40
  • Вопрос задан 7 лет назад

ДАЮ 35 БАЛОВ ПОМОГИТЕ СРОЧНО

Приложения:

Ответы

Ответ дал: dyexfnf
1

Ответ:

Пошаговое объяснение:

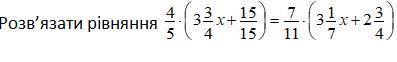
4/5 *(3 3/4х + 15/15) = 7/11 (3 1/7х + 2 3/4)

3х + 4/5 = 2х + 1 3/4

3х + 0,8 = 2х + 1,75

3х - 2х = 1,75 - 0,8

х = 0,95

Вас заинтересует