• Предмет: Математика
  • Автор: stopetsr
  • Вопрос задан 7 лет назад

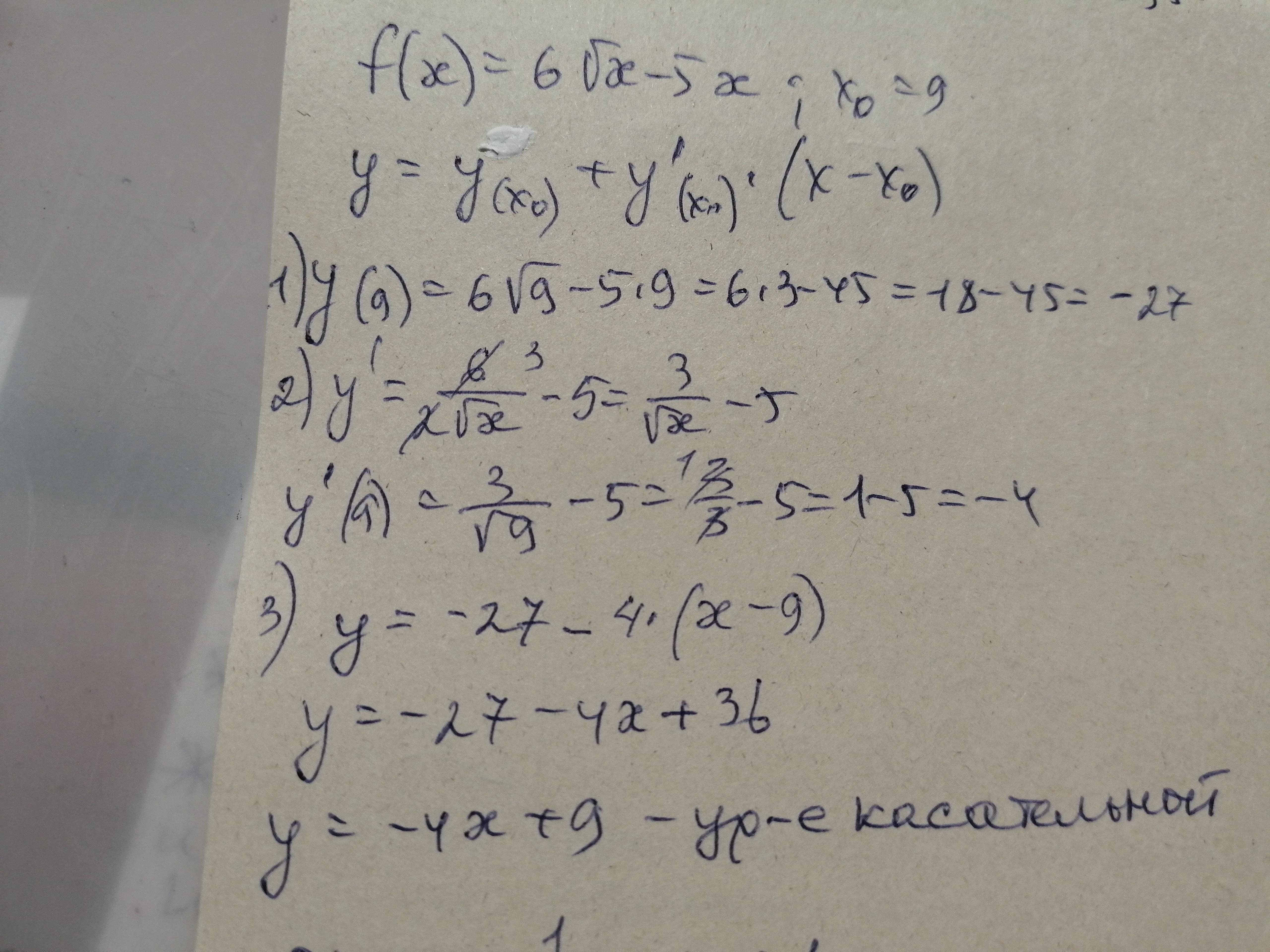
Знайдіть рівняння дотичної до графіка функції f(x)=6√x-5x у точці з абсцисою x0=9

Ответы

Ответ дал: irinan2014
1

Ответ:

Пошаговое объяснение:

Решение дано на фото.

Приложения:
Вас заинтересует