• Предмет: Алгебра
  • Автор: Ksyusha2282
  • Вопрос задан 7 лет назад

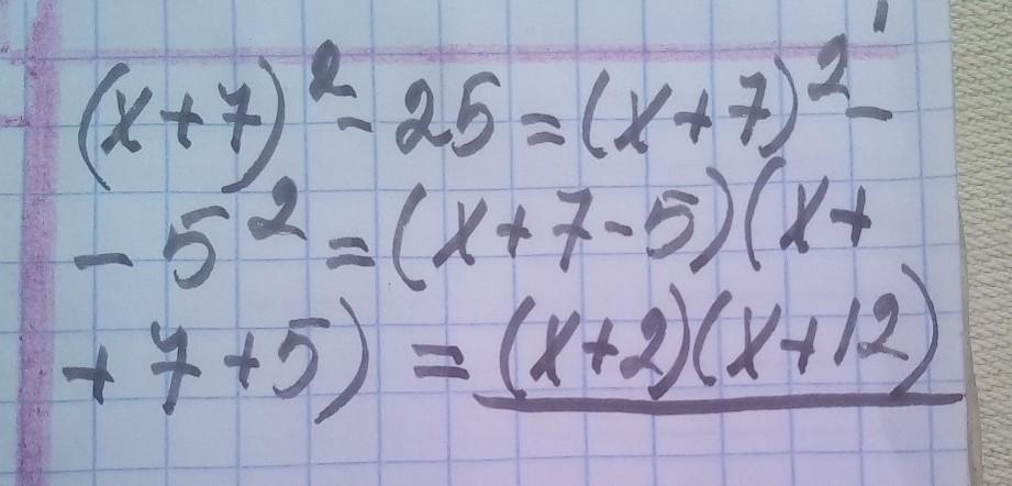
Разложите на множители
(х + 7)² – 25
Помогите пожалуйста

Ответы

Ответ дал: manyny06
1

Ответ:

решение смотри на фотографии

Приложения:
Вас заинтересует