• Предмет: Математика
  • Автор: zlatobelka
  • Вопрос задан 7 лет назад

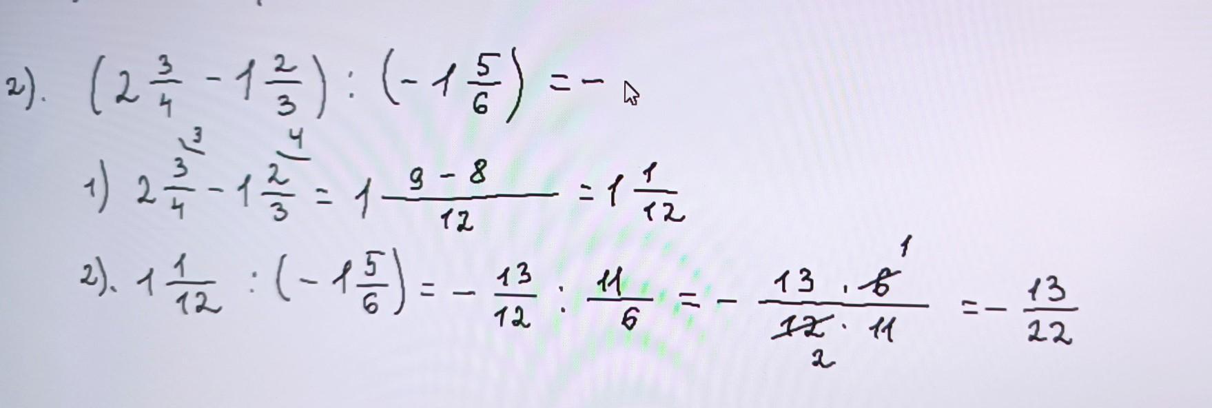
(2 3/8-1 5/6)÷1 5/8, сделайте по принципу как на фото, дам 30 баллов, срочно​

Приложения:

Ответы

Ответ дал: avka1
0

Ответ:

65/192

Пошаговое объяснение:

(2 3/8-1 5/6)/1 5/8=

=(19/8-11/6)*5/8=

=13/24*5/8=

=65/192

Вас заинтересует