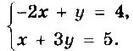
Розв'яжіть систему рівнянь способом підстановки Відповідь запишіть так:х=число,у=число
Приложения:
Ответы
Ответ дал:
0
відповідь на фото.
якщо є можливість, зроби найкращу відповідь, будь ласка
якщо є можливість, зроби найкращу відповідь, будь ласка
Приложения:
Вас заинтересует
2 года назад
3 года назад
3 года назад
8 лет назад
10 лет назад
10 лет назад