• Предмет: Алгебра
  • Автор: JenaMelovina
  • Вопрос задан 7 лет назад

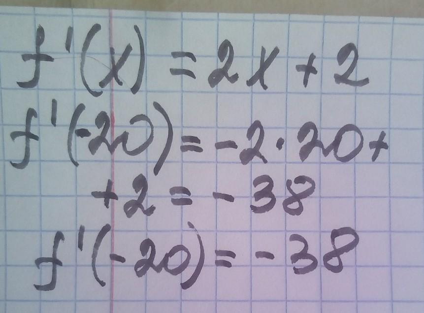
знайти похідну у точці x0, f(x)= x^2+2x,xo=-20​

Ответы

Ответ дал: manyny06
1

Ответ:

решение смотри на фотографии

Приложения:

JenaMelovina: ты просто чудо!
Вас заинтересует