Ответы
Ответ дал:
0
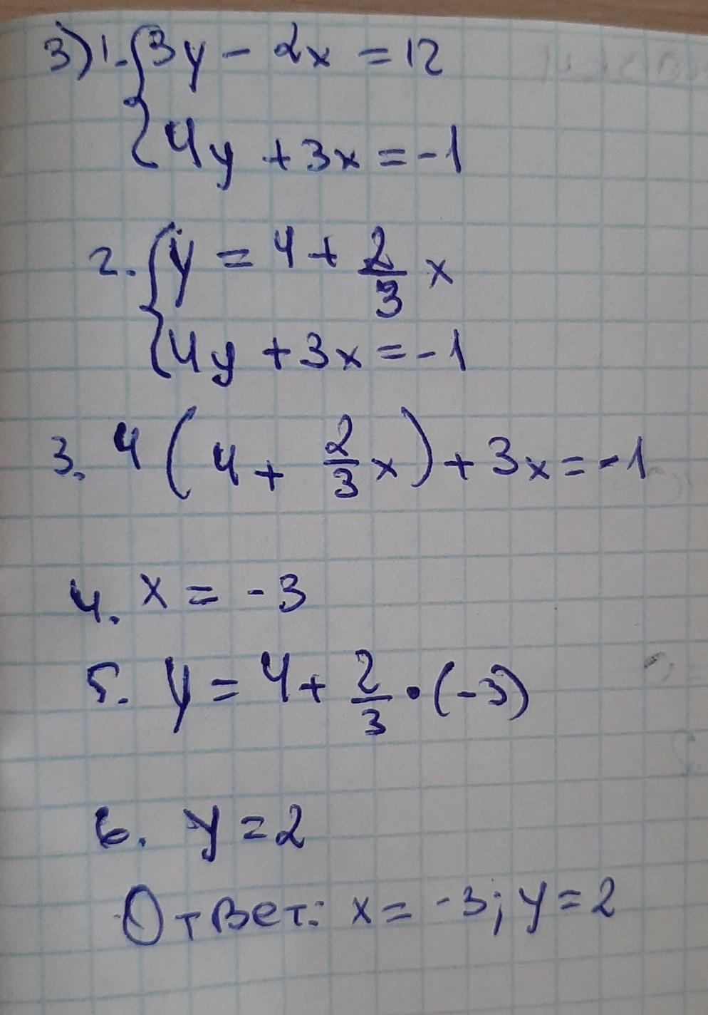
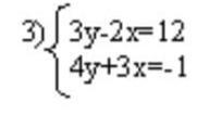
Ответ:
х=-3
у=2
Объяснение:
Метод подстановки
Приложения:

Вас заинтересует
2 года назад
2 года назад
2 года назад
2 года назад
8 лет назад
8 лет назад
9 лет назад