• Предмет: Математика
  • Автор: isaevvitalij2010
  • Вопрос задан 7 лет назад

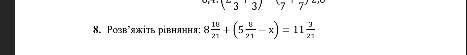
8. Розв'яжіть рівняння: 82 +(5,11-x) = 112​

Приложения:

Ответы

Ответ дал: 10101010azaza
0

Пошаговое объяснение:

82+5,11-х=112(якщо плюс перед "()" то можна їх знімати

87,11-х=112

-х=112-87,11

-х=24,89

х=-24,89

Вас заинтересует