• Предмет: Химия
  • Автор: lubnok
  • Вопрос задан 7 лет назад

хелп пожалуйста с органической химией​

Приложения:

Ответы

Ответ дал: Jeambus
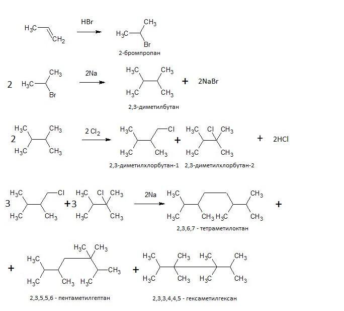
1

1)Бромоводород присоединяется по правилу Марковникова

2) Натрий отбирает бром, заставляя получившиеся радикалы присоединить друг к другу (реакция Вюрца)

3) При хлорировании один атом Хлора отбирает Водород, а второй занимает освободившееся место

4) То же самое, что и во 2 реакции

Приложения:
Вас заинтересует